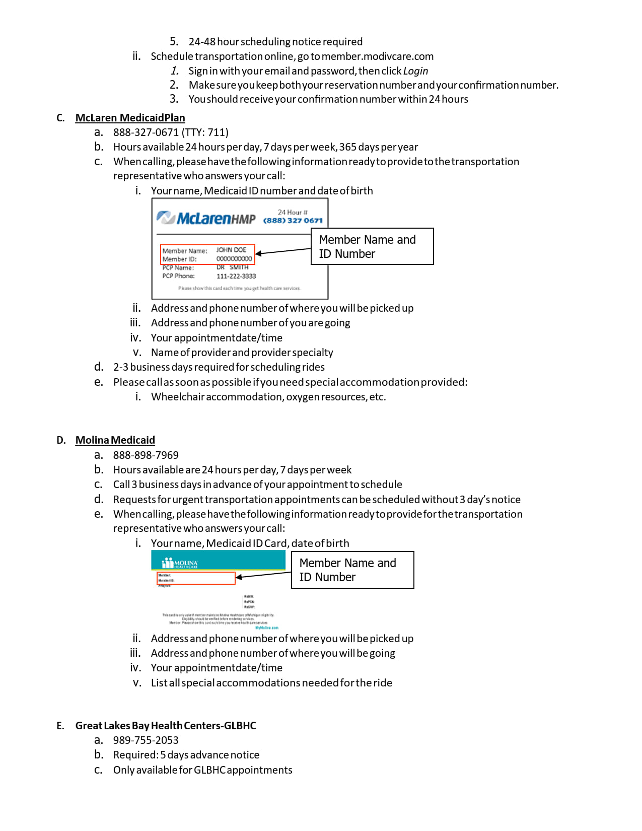
Transportation

Introduction Video

Transportation Training Invitation

Join SCCMHA's Transportation Liaison for FREE training on how to schedule a ride through your Medicaid Health Plan, understand your transportation options, and get answers to all your Transportation questions. These training courses are scheduled for the first Thursday of every month at our 500 Hancock location - starting at 2:00pm. Call our Customer Service Transportation Liaison for help at 989-797-3400.

Transportation Introductory Information Video

Video Replays

Missed the live session? You can now watch the full Medicaid Transportation Training on demand. This recorded livestream provides an overview of transportation requirements, processes, and best practices to support accurate and efficient service delivery. See list of videos below. 

Medicaid Transportation Training – Livestream Replay - YouTube

Non-Emergency Medical Transportation Training - 2/12/2026